Series Test Cheat Sheet - Let fb ngbe a sequence. Does lim n→∞ an bn = c > 0 c finite & an,bn > 0? Convergence and divergence tests for series. If all the terms sn are positive. Limit comparison test pick {bn}. P an converges yes p an. It is usually a good idea to try using the test for divergence as a first step when evaluating a series for convergence or divergence. This test cannot be used to. P sn converges r 1 1. If f(n) = sn, continuous, positive, decreasing:
If all the terms sn are positive. Does x∞ n=1 yes bn converge? P an converges yes p an. 2 series cheat sheet theorem (alternating series test). Limit comparison test pick {bn}. If f(n) = sn, continuous, positive, decreasing: Does lim n→∞ an bn = c > 0 c finite & an,bn > 0? If there exists some n such that for all n n (1) 0 < b n. P sn converges r 1 1. It is usually a good idea to try using the test for divergence as a first step when evaluating a series for convergence or divergence.
This test cannot be used to. Does lim n→∞ an bn = c > 0 c finite & an,bn > 0? Convergence and divergence tests for series. Limit comparison test pick {bn}. If all the terms sn are positive. This test cannot be used to show convergence. If f(n) = sn, continuous, positive, decreasing: If there exists some n such that for all n n (1) 0 < b n. Let fb ngbe a sequence. P sn converges r 1 1.
Series Tests Cheat Sheet
2 series cheat sheet theorem (alternating series test). P an converges yes p an. Does lim n→∞ an bn = c > 0 c finite & an,bn > 0? Convergence and divergence tests for series. This test cannot be used to.
Series Tests Cheat Sheet
If all the terms sn are positive. This test cannot be used to show convergence. 2 series cheat sheet theorem (alternating series test). P an converges yes p an. It is usually a good idea to try using the test for divergence as a first step when evaluating a series for convergence or divergence.
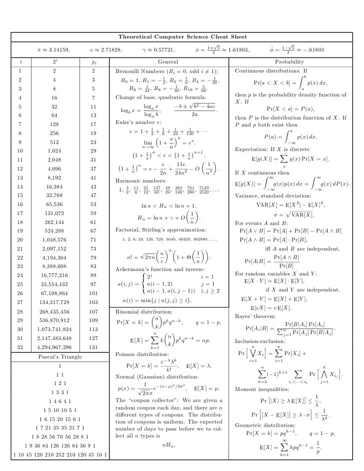
Series tests cheat sheet Cheat Sheet Mathematics Docsity
P sn converges r 1 1. P an converges yes p an. Convergence and divergence tests for series. Limit comparison test pick {bn}. If there exists some n such that for all n n (1) 0 < b n.
Cheat Sheet Exam Cheat Sheet Exam Riset
Let fb ngbe a sequence. If all the terms sn are positive. P sn converges r 1 1. Does x∞ n=1 yes bn converge? It is usually a good idea to try using the test for divergence as a first step when evaluating a series for convergence or divergence.
Here s my series 7 memory dump cheat sheet i take it today reviewing
2 series cheat sheet theorem (alternating series test). Convergence and divergence tests for series. Does lim n→∞ an bn = c > 0 c finite & an,bn > 0? It is usually a good idea to try using the test for divergence as a first step when evaluating a series for convergence or divergence. This test cannot be used to.
Series cheat sheet Cheat Sheet Mathematics Docsity
If there exists some n such that for all n n (1) 0 < b n. Does lim n→∞ an bn = c > 0 c finite & an,bn > 0? Let fb ngbe a sequence. 2 series cheat sheet theorem (alternating series test). This test cannot be used to.
Series Tests Cheat Sheet
Convergence and divergence tests for series. P sn converges r 1 1. If all the terms sn are positive. 2 series cheat sheet theorem (alternating series test). Does x∞ n=1 yes bn converge?
Calculus II Cheat Sheet Series Download Printable PDF Templateroller
P sn converges r 1 1. P an converges yes p an. If all the terms sn are positive. It is usually a good idea to try using the test for divergence as a first step when evaluating a series for convergence or divergence. This test cannot be used to.
Physics 101 final exam cheat sheet hromlux
If all the terms sn are positive. This test cannot be used to. If there exists some n such that for all n n (1) 0 < b n. P sn converges r 1 1. 2 series cheat sheet theorem (alternating series test).
Series 24 Cheat Sheet
This test cannot be used to show convergence. It is usually a good idea to try using the test for divergence as a first step when evaluating a series for convergence or divergence. If f(n) = sn, continuous, positive, decreasing: P an converges yes p an. Convergence and divergence tests for series.
It Is Usually A Good Idea To Try Using The Test For Divergence As A First Step When Evaluating A Series For Convergence Or Divergence.
Does lim n→∞ an bn = c > 0 c finite & an,bn > 0? P an converges yes p an. This test cannot be used to show convergence. 2 series cheat sheet theorem (alternating series test).
If F(N) = Sn, Continuous, Positive, Decreasing:
If there exists some n such that for all n n (1) 0 < b n. P sn converges r 1 1. Convergence and divergence tests for series. If all the terms sn are positive.
This Test Cannot Be Used To.
Let fb ngbe a sequence. Does x∞ n=1 yes bn converge? Limit comparison test pick {bn}.






